量子计算超导光子原理(量子计算超导光子原理入门指南) 量子计算超导光子原理入门指南 是的,超导光子技术是当前最有可能实现通用量子计算的主流路线之一。 超导光子到底是什么? 当你第一次听说“超导”和“光子”同时出现,可能会疑惑:一边是零下两百多度、毫无电阻... 八三百科 2025-11-08 74
量子计算与医疗器械技术(量子计算将如何颠覆未来医疗器械) 量子计算将如何颠覆未来医疗器械 量子计算会让医学影像诊断速度提升到分钟级,药物筛选周期从数年压缩到几天,并推动个体化植入物进入量子级精准时代。 什么是量子计算?小白也能懂的三句话 普通电脑一次只能... 八三百科 2025-11-08 67
祖冲之三号超导量子计算机济南(祖冲之三号超导量子计算机济南落户揭秘) 祖冲之三号超导量子计算机济南落户揭秘 72比特低温超导原型机已进入联调阶段,官方预计三季度对外开放。 为什么“祖冲之三号”选择济南? 济南并非一线城市,却拥有两项稀缺资源:全球单体最大的超导薄膜制备车... 八三百科 2025-11-08 58
超导量子计算前景 超导量子计算是什么?给小白的五句话解释 一句话:它把电子的“开/关”升级成“同时开和关”的叠加态,运算能力随量子比特数指数级膨胀。 量子比特用量子叠加保存信息,传统比特做... 八三百科 2025-11-08 62
量子计算的三条技术路线(量子计算有哪三大技术路线) 量子计算有哪三大技术路线 超导量子比特、离子阱、光量子 为什么“量子计算的三条技术路线”这么火 2024年起,谷歌、IBM、中国本源量子轮番宣布“量子优势”实验,搜索引擎里「量子计算的三条技术路线... 八三百科 2025-11-08 72
人工智能未来(人工智能未来就业前景怎么样) 人工智能未来就业前景怎么样 人工智能未来就业前景怎么样?——整体向好但分化严重,懂业务且会工具的人最抢手。 为什么普通人也要关注AI就业? 引用《双城记》开篇:“这是最好的时代,这是最坏的时代。”... 八三百科 2025-11-08 64
西安量子计算机技术(西安量子计算机技术有哪些新进展) 西安量子计算机技术有哪些新进展 是 为什么我关注西安? 两年前陪朋友去西咸新区办理购房,路过一栋写着“量子信息实验室”的灰色楼,我才意识到西安不止有兵马俑与肉夹馍,也在悄悄研究量子比特。当... 八三百科 2025-11-08 62
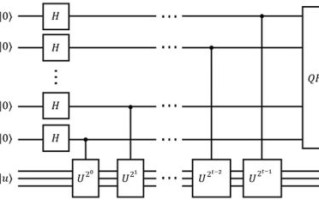
量子计算最优化技术(量子优化算法入门怎么学) pre{background:#f7f7f7;padding:8px 12px;border-left:3px solid #4b70dd;font-size:14px;overflow-x:aut... 八三百科 2025-11-08 70
北京量子计算技术服务中心(北京量子计算技术服务中心在哪) 北京量子计算技术服务中心在哪 北京量子计算技术服务中心位于北京市海淀区西北旺东路中关村量子信息产业园南区3号楼,地铁昌平线生命科学园站B口出站步行约八百米即到。 为什么这里被称作“量子大道” 海淀区把... 八三百科 2025-11-08 66
昆仑量子计算有什么技术(昆仑量子计算有什么技术优势?) 昆仑量子计算有什么技术优势? 是国产自研超导量子芯片、云测控系统与量子操作系统三大核心技术 1. 新手第一步:到底什么叫“量子优势”? 很多人在百度里反复问“昆仑量子计算有什么技术”,其实潜意识想弄... 八三百科 2025-11-08 67