量子计算机信息技术考试考什么
能。这门新生的考试其实更关心“量子思维”是否建立为什么突然冒出这门考试

很多人看到“量子”两个字就头疼,其实官方开考的真正动力是产业窗口期:
- 国内外大厂需要能看懂量子线路图的初级工程师
- 高校在2025年前必须完成《新一代信息技术课程标准》的学分改革
- 国家层面用考试倒逼教材标准化,就像十年前云计算考试刚出现时那样
“技术的浪潮不会等任何人,证书只是一张船票。”——《信息简史》作者詹姆斯·格莱克
考纲拆分成三张地图
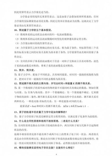
地图A:数学与物理语言(占35%)
- 狄拉克符号 ket-bra 会不会写,能不能把矩阵写成简洁的一行
- 布洛赫球上给任意点,立刻说出对应量子比特状态
- N个量子比特纠缠态的维度为什么是2^N,而不是N
地图B:硬件与软件桥梁(占45%)
- 超导线圈里为什么要把约瑟夫森结当开关
- Qiskit语法糖中cx指令如何映射到物理交叉共振
- 当量子退相干时间T2变成30微秒时,算力还能维持几轮门操作
地图C:算法黑盒实验题(占20%)
官方给的是“黑盒抽签”,现场抽到Grover还是Shor全凭手气,但评分逻辑出奇一致:只要你能解释搜索步骤为何降到√N而不是N/2,就能拿高分。
自学路线与踩坑警示

之一坑:把量子信息学成了复变函数
刚入门容易执着于把每个酉矩阵算到底,其实考试更在意物理意义。 我问自己:矩阵乘法到底怎样把电子自旋旋转90度?答案在于泡利门的几何可视化,用旋转球面代替行列式计算,立刻豁然开朗。
第二坑:猛冲开源框架忽视底层
把Qiskit、Cirq跑通Demo就以为通关?错了。考官喜欢追问:同一根微波线在2.5 GHz与5.0 GHz时退相干各是多少分贝。这时你会发现,会调包不如懂射频。
第三坑:题库焦虑

市面流传的1000题95%抄自IBM官方教程,真正拉开差距的是“真题改编”能力。练习 *** 是把教材里的Shor 1024位分解题改成8位,再算一次,思路立刻清晰。
官方教材外的三本暗线读物
- 《量子计算与量子信息》(Nielsen & Chuang)——所有考点都能在这本书找到对应章节页码
- 《西游记》“真假美猴王”一回——菩提祖师的“分身术”其实就是叠加态启蒙故事,读小说学叠加更带感
- 2024年MIT发布的《Quantum Error Correction Roadmap》白皮书,退相干纠错的最新阈值数据已纳入2025年新题库
我的三小时冲刺策略
0–30分钟 卡片复习 把常用5类量子门画成火柴人漫画,贴在书桌前。泡利X门画成180度翻转的扑克牌,形象记忆优于死背公式。
30–120分钟 真题快筛 只做近3年官方样题,重点抄标准答案里的一句话逻辑链,这往往是阅卷采分点。
最后60分钟 冥想式复习 闭上眼睛,在脑中跑一遍从初始化到测量的完整实验。量子态演化就像播放四格动画,每一帧都在布洛赫球上留下轨迹。
量子证书之后的下一扇门
拿到证并非终点。2026年开始,工信部将试点“量子软件质量评测师”认证,届时量子电路可测试性会成为新热点。届时,你能带着今天的证书去抢之一波岗位。
毕竟,真正的护城河不是纸面成绩,而是能把“叠加”真正写成“并发”的人。
还木有评论哦,快来抢沙发吧~