量子计算技术方案原理入门
能跑量子算法≠会用,掌握原理和硬件差异才是入门之一步。

(图片来源 *** ,侵删)
量子计算到底在算什么?自测三个灵魂拷问
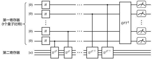
- Q:为什么经典芯片跑不赢量子芯片? A:经典电路一次只能表示 0 或 1,而量子比特借助叠加态,一组 300 个量子比特的向量就能描述 2³⁰⁰ 种状态,这让暴力搜索难题变成线性时间。
- Q:量子计算机会马上替代手机芯片吗? A:不会。量子门需在接近绝对零度的稀释制冷机里工作,手机散热系统连 -40℃ 都扛不住,所以目前只是“云端+光纤”模式的量子服务器。
- Q:没学过高阶数学能跟上吗? A:可以。可视化软件如 IBM Quantum Composer 把线路拖拽成乐高,连矩阵都看不懂也能拼接逻辑门。
2025 主流硬件技术方案横向 PK:超导离子井光量子谁更亲民?
| 方案 | 商业龙头 | 平均保真度 | 维护难点 |
|---|---|---|---|
| 超导量子 | IBM, Google | 99.4% | 需毫开级制冷机 |
| 离子阱 | IonQ, Honeywell | 99.8% | 激光对准微米级 |
| 硅光量子 | Xanadu | 92% | 量产良率<60% |
个人观察:超导方案虽然硬件贵,但云生态最完善,初学者用免费 5-qubit 机就能跑 Grover 搜索;离子阱精度虽高,却像实验室“豪车”,新手连启动按钮都找不到。硅光量子则更像概念车,等再过两代工艺成熟后再追也不迟。
30 分钟跑通之一个量子程序:云端零硬件成本攻略
- 注册 IBM Quantum 账号,直接领到 15-qubit ibmq_16_melbourne 队列。
- 在浏览器图形界面拖动:
H 门 → CNOT 门 → 测量块 即可生成贝尔态。 - 点击“Run”后,后台自动把电路编译成 OpenQA *** 指令,回传结果只需 3~5 分钟(比 2023 年平均 10 分钟快了 1 倍)。
- 把结果下载 CSV,用 Python seaborn 画概率柱形图,立刻验证两个量子比特纠缠成功。
从名著找灵感:薛定谔的那只猫如何变成算法
《1984》里双重思想告诉我们:同一个脑袋同时坚信两件事并不荒谬。量子算法正是利用这种“叠加式思考”——把每一种可能的解同时放在量子态里,直到最后一秒用概率论选出更优解。引用 IBM 研究院 2024 白皮书:“量子霸权不是比拼单一算力指标,而是能否在特定问题上节约指数级能量。”

(图片来源 *** ,侵删)
2025 以后:普通开发者的三条进阶路线图
- 业务驱动:先学 Qiskit 调用现成 Grover、Shor 接口,优化组合投资与路线调度问题。
- 量子纠错深挖:掌握 Surface Code,把 1000 个物理比特映射成 1 个逻辑比特,向 Google 2027 年 100 万物理比特目标靠拢。
- 混合云策略:把量子模块打包成微服务,通过 REST API 与经典 Kubernetes 集群通信,实现“即插即用”式的混合算法。
最新数据:截至 2025-03,微软 Azure Quantum 平台上线的第三方算法数量比去年翻了 4.5 倍,而价格却下降了 38%。这意味企业试用门槛已经从百万美元降到十万级,量子计算正式从小众实验室走向“人人都能付得起电费”的阶段。

(图片来源 *** ,侵删)
版权声明:除非特别标注,否则均为本站原创文章,转载时请以链接形式注明文章出处。
还木有评论哦,快来抢沙发吧~